Задания
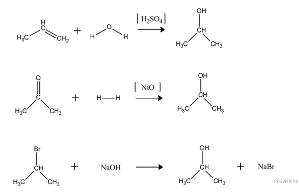
Версия для печати и копирования в MS WordИзопропиловый спирт используют как универсальный растворитель: он входит в состав средств бытовой химии, парфюмерной и косметической продукции, стеклоомывающих жидкостей для автомобилей. В соответствии с приведённой ниже схемой составьте уравнения реакций получения этого спирта. При написании уравнений реакций используйте структурные формулы органических веществ.
Решение.
Спрятать критерии
Кодификатор Решу ВПР: 3.9 Взаимосвязь органических соединений

